Judul : Materi Soal dan Pembahasan Persamaan Garis Lurus SMA SMP K-13dan KTSP
link : Materi Soal dan Pembahasan Persamaan Garis Lurus SMA SMP K-13dan KTSP
Baca Juga
PERSAMAAN GARIS LURUS
Dalam Matematika, Volume 1, persamaan seperti
2x + y = 6
ditetapkan sebagai persamaan linear, dan grafik mereka terbukti garis lurus. Tujuan dari diskusi ini adalah untuk mempelajari hubungan lereng dengan persamaan garis lurus.
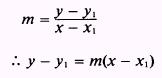
POINT-LERENG FORM
Misalkan kita ingin mencari persamaan garis lurus yang melewati titik yang dikenal dan memiliki kemiringan yang dikenal. Biarkan (x, y) merupakan koordinat dari setiap titik pada garis, dan biarkan (x ,, y,) mewakili koordinat titik yang diketahui. Kemiringan diwakili oleh m.
Mengingat rumus menentukan kemiringan dalam hal koordinat dua titik, kita memiliki
| Rumus |
CONTOH: Tentukan persamaan garis yang melewati titik (2,3) dan memiliki kemiringan 3.
SOLUSI:
| solusi |
CONTOH: Tentukan persamaan garis melalui titik-titik (- 3,4) dan (4, - 2).
SOLUSI:
| Answer |
Membiarkan (x, y) merupakan titik pada garis dan menggunakan (- 3,4) sebagai
| Answer |
Menggunakan (4, - 2) sebagai titik yang dikenal juga akan memberikan 7y + 6x = 10 sebagai
persamaan linear.
LERENG-PENCEGATAN FORM
Setiap garis yang tidak sejajar dengan sumbu Y memotong sumbu Y di beberapa titik. Koordinat x dari titik persimpangan adalah 0, karena sumbu Y adalah vertikal dan melewati titik asal. Biarkan y koordinat titik persimpangan diwakili oleh b. Kemudian titik persimpangan adalah (O, b), seperti yang ditunjukkan pada gambar 1-8. Y koordinat, b, disebut y intercept.
Kemiringan garis pada gambar 1-8 adalah
Nilai Ay dalam ekspresi ini adalah y - b, di mana y mewakili y koordinat setiap titik pada garis. Nilai x adalah x - 0 = x, sehingga
| Answer |
Gambar bentuk 1-8.-Slope-intercept.
Ini adalah bentuk lereng-intercept standar garis lurus.
CONTOH: Tentukan persamaan garis yang memotong sumbu Y di titik (0,3) dan memiliki kemiringan 513.
SOLUSI:
| answer |
| answer |
Menulis persamaan untuk garis yang memiliki poin dan lereng sebagai berikut:
| diket |
| answer |
BENTUK NORMAL
Metode untuk menentukan persamaan garis biasanya tergantung pada beberapa pengetahuan tentang titik atau titik pada garis. Mari kita sekarang mempertimbangkan metode yang tidak memerlukan pengetahuan sebelumnya mengenai salah satu poin garis itu. Semua yang diketahui tentang garis adalah jarak tegak lurus yang dari asal dan sudut antara tegak lurus dan sumbu X, di mana sudut diukur berlawanan dari sisi positif dari sumbu X.
Pada Gambar 1-9, garis AB adalah p jauh dari asal, dan garis OM membentuk sudut 9 (huruf Yunani theta) dengan sumbu X. Kami memilih titik P (x, y) pada garis AB dan mengembangkan
| segi tiga |
Gambar bentuk 1-9.-Normal.
persamaan garis AB dalam hal x dan y dari P. Sejak P merupakan APAPUN titik pada garis, x dan y dari persamaan akan mewakili setiap titik pada garis dan karena itu akan mewakili garis itu sendiri.
PR dibangun tegak lurus terhadap OB pada titik R. NR ditarik sejajar dengan AB, dan PN sejajar dengan OB. PS tegak lurus terhadap NR dan AB. Sebuah sudut yang tepat dibentuk oleh sudut NRO dan PRN. Segitiga ONR dan OMB adalah segitiga siku-siku sama. Oleh karena itu, sudut NRO dan MBO adalah sama dan ditetapkan sebagai 8 '. Sejak 8 + 8 '= 90' di segitiga OMB dan sudut NRO sama dengan 8 ', maka sudut PRN sama 8. Akhirnya, jarak x dari titik P sama dengan OR, dan jarak y dari P sama dengan PR.
Untuk menghubungkan p jarak ke x dan y, kita alasan sebagai berikut:
| solusi |
Persamaan akhir ini adalah bentuk normal. Kata "normal" dalam penggunaan ini mengacu pada hubungan tegak lurus antara OM dan AB. "Normal" sering berarti "tegak lurus" dalam penggunaan matematika dan ilmiah. Jarak p selalu dianggap positif, dan 8 adalah setiap sudut antara 0 dan 360 '.
CONTOH: Tentukan persamaan garis yang 5 unit dari asal, jika tegak lurus dari garis ke asal membentuk sudut 30 'dari sisi positif dari sumbu X.
| solusi |
Mantep kan mas brow artikel :Materi Soal dan Pembahasan Persamaan Garis Lurus SMA SMP K-13dan KTSP
,.. Materi Soal dan Pembahasan Persamaan Garis Lurus SMA SMP K-13dan KTSP kali ini, mudah-mudahan bisa memberi manfaat untuk anda semua. baiklah kalau Blegitchu, sampai jumpa di postingan artikel lainnya Jangan lupa Share yaaa. Kawulo Alit manunggaling Gusti..
Donasi web ini silahkan hubungi aksarakuning@gmail.com, seikhlasnya, yang penting membantu membangun dan mencerdaskan kehidupan bangsa.
Anda sekarang membaca artikel Materi Soal dan Pembahasan Persamaan Garis Lurus SMA SMP K-13dan KTSP dengan alamat link https://pendidikan-tld.blogspot.com/2015/03/materi-soal-dan-pembahasan-persamaan.html

0 Response to "Materi Soal dan Pembahasan Persamaan Garis Lurus SMA SMP K-13dan KTSP"
Posting Komentar